1.位运算 #
1.1 比特 #
- 比特(bit)是表示信息的最小单位
- 比特(bit)是二进制单位(binary unit)的缩写
- 比特(bit)只有两种状态:0和1
- 一般来说n比特的信息量可以表示出2的n次方种选择

0b1000=2*2*2=Math.pow(2,3)=8=0~71.2 数值数据 #
1.2.1 无符号数据的表示 #
- 原码: 3个bit能表示8个数 0 1 2 3 4 5 6 7

1.2.2 有符号数据的表示 #
1.2.2.1 原码 #
- 符号: 用0、1表示正负号,放在数值的最高位,0表示正数,1表示负数
- 原码: 3个bit能表示8个数 +0 +1 +2 +3 -0 -1 -2 -3

1.2.2.2 反码 #
- 反码:正数不变,负数的除符号位外取反

1.2.2.3 补码 #
- 补码:正数不变,负数在反码的基础上加1
- 补码解决了,可以带符号位进行运算,不需要单独标识
- 补码解决了自然码正负0的表示方法
- 补码实现了减法变加法


1.3 位运算 #
| 运算 | 使用 | 说明 |
|---|---|---|
| 按位与(&) | x & y | 每一个比特位都为1时,结果为1,否则为0 |
按位或( ) |
x y |
每一个比特位都为0时,结果为0,否则为1 |
| 按位异或(^) | x ^ y | 每一个比特位相同结果为0,否则为1 |
| 按位非(~) | ~ x | 对每一个比特位取反,0变为1,1变为0 |
| 左移(<<) | x << y | 将x的每一个比特位左移y位,右侧补充0 |
| 有符号右移(>>) | x >> y | 将x的每一个比特位向右移y个位,右侧移除位丢弃,左侧填充为最高位 |
| 无符号右移(>>>) | x >>> y | 将x的每一个比特位向右移y个位,右侧移除位丢弃,左侧填充为0 |
let a = 0b100;//4
let b = 0b011;//3
console.log((a & b).toString(2));//000 0
console.log((a | b).toString(2));//111 7
console.log((a ^ b).toString(2));//111 7
//按位非运算时,任何数字x的运算结果都是-(x + 1)。例如,〜4运算结果为-5
console.log((~a));//-5
console.log((~a).toString(2));//111let a = 0b001;
//左移
console.log((a << 2).toString(2));// 0b100
//无符号右移(>>>) 丢弃被移除的位 左侧补0
let b = 0b100;
console.log((b >>> 1).toString(2));// 0b010
//有符号右移(>>) 丢弃被移除的位 左侧填充最高位
let c = 0b101;//-3 110
console.log((-3 >> 1));1.4 使用 #
//定义常量
const OP_INSERT = 1 << 0; // 0b001
const OP_REMOVE = 1 << 1; // 0b010
let OP = 0b000;
//增加操作
OP |= OP_INSERT;
OP |= OP_REMOVE;
console.log(OP.toString(2));//0b11
//删除操作
OP = OP & ~OP_INSERT;
console.log(OP.toString(2));//0b10
//判断包含
console.log((OP & OP_INSERT) === OP_INSERT);
console.log((OP & OP_REMOVE) === OP_REMOVE);
//判断不包含
console.log((OP & OP_INSERT) === 0);
console.log((OP & OP_REMOVE) === 0);1.5 ES5规范 #
- Binary Bitwise Operators
- ToInt32: (Signed 32 Bit Integer)
- 位运算只支持整数运算
- 位运算中的左右操作数都会转换为有符号32位整型, 且返回结果也是有符号32位整型
- 操作数的大小超过Int32范围(-2^31 ~ 2^31-1). 超过范围的二进制位会被截断, 取低位32bit
1.6 Hydration #
- 水合反应( hydrated reaction),也叫作水化
- 是指物质溶解在水里时,与水发生的化学作用,水合分子的过程
- 组件在服务器端拉取数据(水),并在服务器端首次渲染
- 脱水: 对组件进行脱水,变成HTML字符串,脱去动态数据,成为风干标本快照
- 注水:发送到客户端后,重新注入数据(水),重新变成可交互组件

1.7 React中的应用场景 #
- React中用lane(车道)模型来表示任务优先级
- 一共有31条优先级,数字越小优先级越高,某些车道的优先级相同
- clz32)函数返回开头的 0 的个数

//一共有16种优先级
//同步优先级
const SyncLanePriority = 15;
const SyncBatchedLanePriority = 14;
//离散事件优先级
const InputDiscreteHydrationLanePriority = 13;
const InputDiscreteLanePriority = 12;
//连续事件优先级
const InputContinuousHydrationLanePriority = 11;
const InputContinuousLanePriority = 10;
//默认优先级
const DefaultHydrationLanePriority = 9;
const DefaultLanePriority = 8;
//渐变优先级
const TransitionHydrationPriority = 7;
const TransitionPriority = 6;
const RetryLanePriority = 5;
const SelectiveHydrationLanePriority = 4;
//空闲优先级
const IdleHydrationLanePriority = 3;
const IdleLanePriority = 2;
//离屏优先级
const OffscreenLanePriority = 1;
//未设置优先级
const NoLanePriority = 0;
/**
* 一共有31条车道
*/
const TotalLanes = 31;
//没有车道,所有位都为0
const NoLanes = 0b0000000000000000000000000000000;
const NoLane = 0b0000000000000000000000000000000;
//同步车道,优先级最高
const SyncLane = 0b0000000000000000000000000000001;
const SyncBatchedLane = 0b0000000000000000000000000000010;
//离散用户交互车道 click
const InputDiscreteHydrationLane = 0b0000000000000000000000000000100;
const InputDiscreteLanes = 0b0000000000000000000000000011000;
//连续交互车道 mousemove
const InputContinuousHydrationLane = 0b0000000000000000000000000100000;
const InputContinuousLanes = 0b0000000000000000000000011000000;
//默认车道
const DefaultHydrationLane = 0b0000000000000000000000100000000;
const DefaultLanes = 0b0000000000000000000111000000000;
//渐变车道
const TransitionHydrationLane = 0b0000000000000000001000000000000;
const TransitionLanes = 0b0000000001111111110000000000000;
//重试车道
const RetryLanes = 0b0000011110000000000000000000000;
const SomeRetryLane = 0b0000010000000000000000000000000;
//选择性水合车道
const SelectiveHydrationLane = 0b0000100000000000000000000000000;
//非空闲车道
const NonIdleLanes = 0b0000111111111111111111111111111;
const IdleHydrationLane = 0b0001000000000000000000000000000;
//空闲车道
const IdleLanes = 0b0110000000000000000000000000000;
//离屏车道
const OffscreenLane = 0b1000000000000000000000000000000;
/**
* 分离出所有比特位中最右边的1
* 分离出最高优先级的车道
* @param {*} lanes 车道
* @returns 车道
*/
function getHighestPriorityLane(lanes) {
return lanes & -lanes;
}
//console.log(getHighestPriorityLane(InputDiscreteLanes));//8 0b1000
//console.log('0000000000000000000000000011000');
//console.log('1111111111111111111111111101000');
/**
* 分离出所有比特位中最左边的1
* 分离出最低优先级的车道
* @param {*} lanes 车道
* @returns 车道
*/
function getLowestPriorityLane(lanes) {
const index = 31 - Math.clz32(lanes);
return index < 0 ? NoLanes : 1 << index;
}
console.log(getLowestPriorityLane(InputDiscreteLanes));//16 0b10000
console.log('0000000000000000000000000011000');
console.log(Math.clz32(InputDiscreteLanes));//27
console.log(31 - Math.clz32(InputDiscreteLanes));//42. 最小堆 #

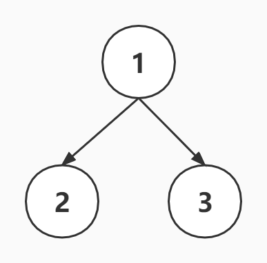
2.1 二叉树 #
- 每个节点最多有两个子节点

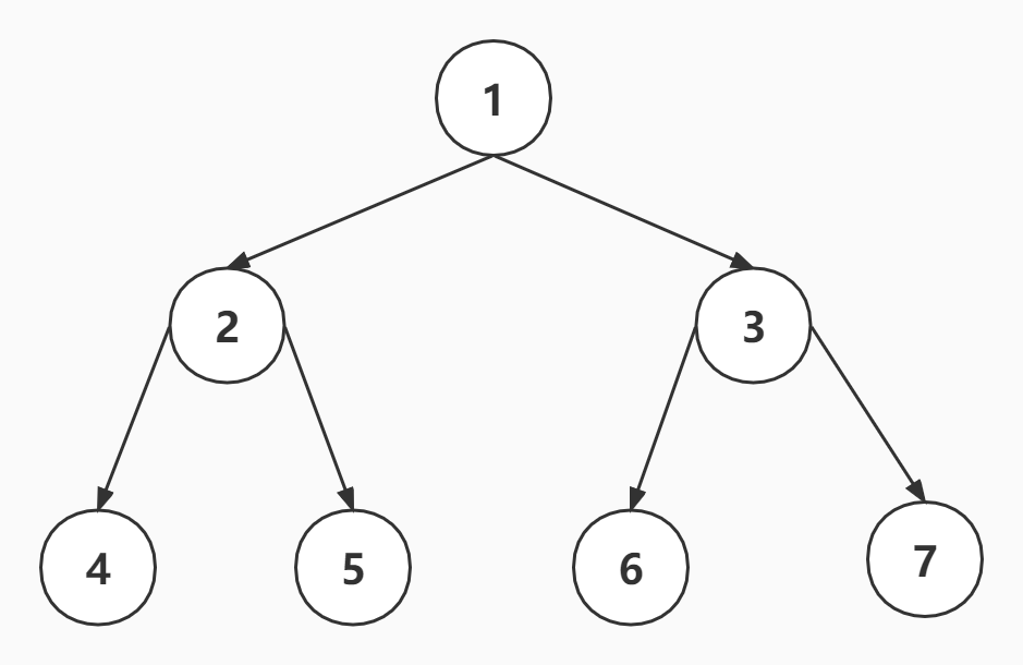
2.2 满二叉树 #
- 除最后一层无任何子节点外,每一层上的所有结点都有两个子结点的二叉树

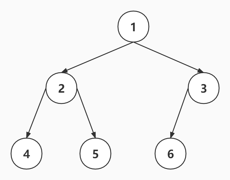
2.3 完全二叉树 #
- 叶子结点只能出现在最下层和次下层
- 且最下层的叶子结点集中在树的左部

2.4 最小堆 #
- processon
- 最小堆是一种经过排序的完全二叉树
- 其中任一非终端节点的数据值均不大于其左子节点和右子节点的值
- 根结点值是所有堆结点值中最小者
- 编号关系
- 左子节点编号=父节点编号2 12=2
- 右子节点编号=左子节点编号+1
- 父节点编号=子节点编号/2 2/2=1
- 索引关系
- 左子节点索引=(父节点索引+1)2-1 (0+1)2-1=1
- 右子节点索引=左子节点索引+1
- 父节点索引=(子节点索引-1)/2 (1-1)/2=0
- Unsigned_right_shift

2.5 SchedulerMinHeap.js #
- peek() 查看堆的顶点
- pop() 弹出堆的定点后需要调用
siftDown函数向下调整堆 - push() 添加新节点后需要调用
siftUp函数向上调整堆 - siftDown() 向下调整堆结构, 保证最小堆
- siftUp() 需要向上调整堆结构, 保证最小堆
react\packages\scheduler\src\SchedulerMinHeap.js
export function push(heap, node) {
const index = heap.length;
heap.push(node);
siftUp(heap, node, index);
}
export function peek(heap) {
const first = heap[0];
return first === undefined ? null : first;
}
export function pop(heap) {
const first = heap[0];
if (first !== undefined) {
const last = heap.pop();
if (last !== first) {
heap[0] = last;
siftDown(heap, last, 0);
}
return first;
} else {
return null;
}
}
function siftUp(heap, node, i) {
let index = i;
while (true) {
const parentIndex = index - 1 >>> 1;
const parent = heap[parentIndex];
if (parent !== undefined && compare(parent, node) > 0) {
heap[parentIndex] = node;
heap[index] = parent;
index = parentIndex;
} else {
return;
}
}
}
function siftDown(heap, node, i) {
let index = i;
const length = heap.length;
while (index < length) {
const leftIndex = (index + 1) * 2 - 1;
const left = heap[leftIndex];
const rightIndex = leftIndex + 1;
const right = heap[rightIndex];
if (left !== undefined && compare(left, node) < 0) {
if (right !== undefined && compare(right, left) < 0) {
heap[index] = right;
heap[rightIndex] = node;
index = rightIndex;
} else {
heap[index] = left;
heap[leftIndex] = node;
index = leftIndex;
}
} else if (right !== undefined && compare(right, node) < 0) {
heap[index] = right;
heap[rightIndex] = node;
index = rightIndex;
} else {
return;
}
}
}
function compare(a, b) {
const diff = a.sortIndex - b.sortIndex;
return diff !== 0 ? diff : a.id - b.id;
}const { push, pop, peek } = require('./SchedulerMinHeap');
let heap = [];
push(heap, { sortIndex: 1 });
push(heap, { sortIndex: 2 });
push(heap, { sortIndex: 3 });
console.log(peek(heap));
push(heap, { sortIndex: 4 });
push(heap, { sortIndex: 5 });
push(heap, { sortIndex: 6 });
push(heap, { sortIndex: 7 });
console.log(peek(heap));
pop(heap);
console.log(peek(heap));3. 链表 #
- 链表是一种物理存储单元上非连续、非顺序的存储结构
- 数据元素的逻辑顺序是通过链表中的指针链接次序实现的
- 链表由一系列结点组成
- 每个结点包括两个部分:一个是存储数据元素的数据域,另一个是存储下一个结点地址的指针域
3.1 链表分类 #
3.1.1 单向链表 #

3.1.2 双向链表 #

3.1.3 循环链表 #


3.1.4 示例 #
3.1.4.1 ReactFiberLane.js #
ReactFiberLane.js
const NoLanes = 0b00;
const NoLane = 0b00;
const SyncLane = 0b01;
const SyncBatchedLane = 0b10;
/**
* 判断subset是不是set的子集
* @param {*} set
* @param {*} subset
* @returns
*/
function isSubsetOfLanes(set, subset) {
return (set & subset) === subset;
}
/**
* 合并两个车道
* @param {*} a
* @param {*} b
* @returns
*/
function mergeLanes(a, b) {
return a | b;
}
module.exports = {
NoLane,
NoLanes,
SyncLane,
SyncBatchedLane,
isSubsetOfLanes,
mergeLanes
}3.1.4.2 ReactUpdateQueue.js #
ReactUpdateQueue.js
const { NoLane, NoLanes, isSubsetOfLanes, mergeLanes } = require('./ReactFiberLane') ;
function initializeUpdateQueue(fiber) {
const queue = {
baseState: fiber.memoizedState,//本次更新前该Fiber节点的state,Update基于该state计算更新后的state
firstBaseUpdate: null,//本次更新前该Fiber节点已保存的Update链表头
lastBaseUpdate: null,//本次更新前该Fiber节点已保存的Update链表尾
shared: {
//触发更新时,产生的Update会保存在shared.pending中形成单向环状链表
//当由Update计算state时这个环会被剪开并连接在lastBaseUpdate后面
pending: null
}
}
fiber.updateQueue = queue;
}
function enqueueUpdate(fiber, update) {
const updateQueue = fiber.updateQueue;
if (updateQueue === null) {
return;
}
const sharedQueue = updateQueue.shared;
const pending = sharedQueue.pending;
if (pending === null) {
update.next = update;
} else {
update.next = pending.next;
pending.next = update;
}
sharedQueue.pending = update;
}
/**
* 处理更新队列
* @param {*} fiber
* @param {*} renderLanes
*/
function processUpdateQueue(fiber, renderLanes) {
//获取此fiber上的更新队列
const queue = fiber.updateQueue;
//获取第一个更新
let firstBaseUpdate = queue.firstBaseUpdate;
let lastBaseUpdate = queue.lastBaseUpdate;
//判断一下是否在等待生效的的更新,如果有,变成base队列
let pendingQueue = queue.shared.pending;
if (pendingQueue !== null) {
//等待生效的队列是循环队列
queue.shared.pending = null;
//最后一个等待的更新 update4
const lastPendingUpdate = pendingQueue;
//第一个等待的更新 update1
const firstPendingUpdate = lastPendingUpdate.next;
//把环剪断,最后一个不再指向第一个
lastPendingUpdate.next = null;
//把等待生效的队列添加到base队列中
//如果base队列为空
if (lastBaseUpdate === null) {
firstBaseUpdate = firstPendingUpdate;
} else {//否则就把当前的更新队列添加到base队列的尾部
lastBaseUpdate.next = firstPendingUpdate;
}
//尾部也接上
lastBaseUpdate = lastPendingUpdate;
}
//开始计算新的状态
if (firstBaseUpdate !== null) {
//先获取老的值{number:0}
let newState = queue.baseState;
let newLanes = NoLanes;
let newBaseState = null;//新的基础状态
let newFirstBaseUpdate = null;//第一个跳过的更新
let newLastBaseUpdate = null;//新的最后一个基本更新
let update = firstBaseUpdate;//指向第一个更新
do {
//获取更新车道
const updateLane = update.lane;
//如果优先级不够,跳过这个更新,如果这是第一个跳过的更新,上一个状态和更新成为newBaseState和newFirstBaseUpdate
if (!isSubsetOfLanes(renderLanes, updateLane)) {
const clone = {
lane: updateLane,
payload: update.payload
};
if (newLastBaseUpdate === null) {
newFirstBaseUpdate = newLastBaseUpdate = clone;// first=last=update1
newBaseState = newState;//0
} else {
newLastBaseUpdate = newLastBaseUpdate.next = clone;
}
//更新队列中的剩下的优先级
newLanes = mergeLanes(newLanes, updateLane);
} else {
//如果有足够的优先级 如果有曾经跳过的更新,仍然追加在后面
if (newLastBaseUpdate !== null) {
const clone = {
//NoLane是所有的优先级的子集,永远不会被跳过
lane: NoLane,
payload: update.payload
};
newLastBaseUpdate = newLastBaseUpdate.next = clone;
}
newState = getStateFromUpdate(update, newState);
}
update = update.next;
if (!update) {
break;
}
} while (true);
if (!newLastBaseUpdate) {
newBaseState = newState;
}
queue.baseState = newBaseState;
queue.firstBaseUpdate = newFirstBaseUpdate;
queue.lastBaseUpdate = newLastBaseUpdate;
fiber.lanes = newLanes;
fiber.memoizedState = newState;
}
}
function getStateFromUpdate(update, prevState) {
const payload = update.payload;
let partialState = payload(prevState);
return Object.assign({}, prevState, partialState);
}
module.exports = {
initializeUpdateQueue,
enqueueUpdate,
processUpdateQueue
}3.1.4.3 use.js #
use.js
4. 树的遍历 #

4.1 深度优先(DFS) #
- 深度优先搜索英文缩写为DFS即
Depth First Search - 其过程简要来说是对每一个可能的分支路径深入到不能再深入为止,而且每个节点只能访问一次
- 应用场景
- React虚拟DOM的构建
- React的fiber树构建
function dfs(node) {
console.log(node.name);
node.children&&node.children.forEach(child => {
dfs(child);
});
}
let root = {
name: 'A',
children: [
{
name: 'B',
children: [
{ name: 'B1' },
{ name: 'B2' }
]
},
{
name: 'C',
children: [
{ name: 'C1' },
{ name: 'C2' }
]
}
]
}
dfs(root);4.2 广度优先(BFS) #
- 宽度优先搜索算法(又称广度优先搜索),其英文全称是Breadth First Search
- 算法首先搜索距离为
k的所有顶点,然后再去搜索距离为k+l的其他顶点
function bfs(node) {
const stack = [];
stack.push(node);
let current;
while (current = stack.shift()) {
console.log(current.name);
current.children && current.children.forEach(child => {
stack.push(child);
});
}
}
let root = {
name: 'A',
children: [
{
name: 'B',
children: [
{ name: 'B1' },
{ name: 'B2' }
]
},
{
name: 'C',
children: [
{ name: 'C1' },
{ name: 'C2' }
]
}
]
}
bfs(root);5. 栈 #
- 栈(stack)又名堆栈,它是一种运算受限的线性表
- 限定仅在表尾进行插入和删除操作的线性表,这一端被称为栈顶,相对地,把另一端称为栈底
- 向一个栈插入新元素又称作进栈、入栈或压栈,它是把新元素放到栈顶元素的上面,使之成为新的栈顶元素
- 从一个栈删除元素又称作出栈或退栈,它是把栈顶元素删除掉,使其相邻的元素成为新的栈顶元素
5.1 栈代码 #
class Stack {
constructor() {
this.data = [];
this.top = 0;
}
push(node) {
this.data[this.top++] = node;
}
pop() {
return this.data[--this.top];
}
peek() {
return this.data[this.top - 1];
}
size() {
return this.top;
}
clear() {
this.top = 0;
}
}
const stack = new Stack();
stack.push('1');
stack.push('2');
stack.push('3');
console.log('stack.size()', stack.size());
console.log('stack.peek', stack.peek());
console.log('stack.pop()', stack.pop());
console.log('stack.peek()', stack.peek());
stack.push('4');
console.log('stack.peek', stack.peek());
stack.clear();
console.log('stack.size', stack.size());
stack.push('5');
console.log('stack.peek', stack.peek());5.2 应用场景 #
5.2.1 App.js #
import React from "react";
const NumberContext = React.createContext(0);
export default function App() {
return (
<NumberContext.Provider value={'A'}>
<NumberContext.Consumer>
{(v1) => (
<NumberContext.Provider value={'B'}>
<NumberContext.Consumer>
{(v2) => (
<NumberContext.Provider value={'C'}>
<NumberContext.Consumer>
{(v3) => (
<div>
{v1} {v2} {v3}
</div>
)}
</NumberContext.Consumer>
</NumberContext.Provider>
)}
</NumberContext.Consumer>
</NumberContext.Provider>
)}
</NumberContext.Consumer>
</NumberContext.Provider>
);
}5.2.2 ReactFiberStack.js #
src\react\packages\react-reconciler\src\ReactFiberStack.js
const valueStack = [];
let index = -1;
function createCursor(defaultValue) {
return {current: defaultValue};
}
function isEmpty() {
return index === -1;
}
function pop(cursor) {
if (index < 0) {
return;
}
cursor.current = valueStack[index];
valueStack[index] = null;
index--;
}
function push(cursor, value) {
index++;
valueStack[index] = cursor.current;
cursor.current = value;
}
module.exports = {
createCursor, isEmpty, pop, push
};5.2.3 ReactFiberNewContext.js #
src\react\packages\react-reconciler\src\ReactFiberNewContext.js
function pushProvider(providerFiber, nextValue) {
const context = providerFiber.type._context;
push(valueCursor, context._currentValue, providerFiber);
context._currentValue = nextValue;
}
function popProvider(providerFiber) {
const currentValue = valueCursor.current;
pop(valueCursor, providerFiber);
const context = providerFiber.type._context;
context._currentValue = currentValue;
}
module.exports = {
pushProvider, popProvider
};5.2.4 use.js #
const { createCursor, pop, push } = require('./ReactFiberStack.js');
const { pushProvider, popProvider } = require('./ReactFiberNewContext.js');
let valueCursor = createCursor();
let providerFiber = { type: { _context: {} } };
pushProvider(providerFiber, 'A');
console.log(providerFiber.type._context._currentValue);
pushProvider(providerFiber, 'B');
console.log(providerFiber.type._context._currentValue);
pushProvider(providerFiber, 'C');
console.log(providerFiber.type._context._currentValue);
popProvider(providerFiber);
console.log(providerFiber.type._context._currentValue);
popProvider(providerFiber);
console.log(providerFiber.type._context._currentValue);
popProvider(providerFiber);6.二进制 #
- 计算机用二进制来存储数字
- 为了简化运算,二进制数都是用一个字节(8个二进制位)来简化说明
- 在线工具
6.1 真值 #
- 8位二进制数能表示的真值范围是[-2^8, +2^8]
+ 00000001 # +1
- 00000001 # -16.2 原码 #
- 由于计算机只能存储0和1,不能存储正负
- 所以用8个二进制位的最高位来表示符号,0表示正,1表示负,用后七位来表示真值的绝对值
- 这种表示方法称为原码表示法,简称原码
- 由于
10000000的意思是-0,这个没有意义,所有这个数字被用来表示-128 - 由于最高位被用来表示符号了,现在能表示的范围是[-2^7, +2^7-1],即[-128, +127]
0 0000001 # +1
1 0000001 # -16.3 反码 #
- 反码是另一种表示数字的方法
- 其规则是整数的反码何其原码一样
- 负数的反码将其原码的符号位不变,其余各位按位取反
- 反码的表示范围是[-2^7, +2^7-1],即[-128, +127]
0 0000001 # +1
1 1111110 # -16.4 补码 #
- 补码是为了简化运算,将减法变为加法而发明的数字表示法
- 其规则是整数的补码和原码一样,负数的补码是其反码末尾加1
- 8位补码表示的范围是[-2^7, +2^7-1],即[-128, +127]
- 快速计算负数补码的规则就是,由其原码低位向高位找到第一个1,1和其低位不变,1前面的高位按位取反即可
0 0000001 # +1
1 1111111 # -16.5 二进制数整数 #
- 只要对js中的任何数字做位运算操作系统内部都会将其转换成整形
- js中的这种整形是区分正负数的
- js中的整数的表示范围是[-2^31, +2^31-1],即[-2147483648, +2147483647]
6.6 ~非 #
- ~操作符会将操作数的每一位取反,如果是1则变为0,如果是0则边为1
0b00000011
3
~0b00000011 => 0b11111100
-4
(~0b00000011).toString();
'-4'
(~0b00000011).toString(2);
'-100'
求补码的真值
1 表示负号
剩下的 1111100 开始转换
1111100 减1
1111011 取反
0000100 46.7 getHighestPriorityLane #
- 可以找到最右边的1
- 最右边的1右边的全是0,全是0取反就全是1,再加上就会全部进位到1取反的位置
- 最右边的1和右边的数跟原来的值是完全一样的,左边的全是反的
/**
* 分离出所有比特位中最右边的1
* 分离出最高优先级的车道
* @param {*} lanes 车道
* @returns 车道
*/
function getHighestPriorityLane(lanes) {
return lanes & -lanes;
}
lanes=0b00001100=12
-lanes=-12
1
0001100
1110011
1110100
11110100
000011006.8 左移 #
- 左移的规则就是每一位都向左移动一位,末尾补0,其效果相当于×2
- 计算机就是用移位操作来计算乘法的
(0b00000010<<1).toString(2)6.9 >> 有符号右移 #
- 有符号右移也就是移位的时候高位补的是其符号位,整数则补0,负数则补1
(-0b111>>1).toString(2) "-100"
-0b111 -7
100000111 原码
111111000 反码
111111001 补码
111111100
1
111111100
111111011
000000100
1000000100
-100
-46.10 >>>无符号右移 #
- 右移的时候高位始终补0
- 整数和有符号右移没有区别
- 负数右移后会变为正数
(0b111>>>1).toString(2)
>>> "11"(-0b111>>>1).toString(2)
>>> "1111111111111111111111111111100"
00000000000000000000000000000111
11111111111111111111111111111000
11111111111111111111111111111001
01111111111111111111111111111100
2147483644
)